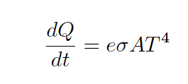
事實上,任何高于絕對零溫度的質量都會根據該溫度發出電磁輻射(光子或光)。這一基本事實使得通過分析物體發出的光來測量溫度成為可能。輻射能的斯特藩-玻爾茲曼定律量化了這一事實,宣布熱物體散發的熱損失率與絕對溫度的四次方成正比:

DQ/dt=輻射熱損失率(瓦特)
E=輻射系數(無單位)
Σ=斯特藩-玻爾茲曼常數(5.67×10-8 W/m 2K 4)
A=表面積(平方米)
T=絕對溫度(開爾文)
非接觸式溫度測量(或高溫測量,常稱為高溫測量)的主要優點是相當明顯的:無需傳感器與過程直接接觸,可進行多種溫度測量,或使用任何其他技術是不切實際或不可能的。
非接觸式測溫的主要缺點之一是只能顯示物體的表面溫度。例如,檢測管道發出的熱輻射只能告訴您管道的表面溫度,而不是管道中流體的真實溫度。另一個例子是當醫生使用非接觸式溫度測量來評估體溫異常時:他們檢測到的只是皮膚溫度。雖然可以通過這種方式檢測物體表面下方的熱點可能是真的,但這只是因為物體表面溫度因下方的熱點而不同。如果物體內部高于正常溫度的區域未能將足夠的熱能傳遞到表面以顯示更熱的表面溫度,則該區域將無法通過非接觸式溫度測量看到。
一些讀者可能會驚訝地發現,非接觸式高溫計幾乎與熱電偶技術一樣古老。第一個非接觸式高溫計建于1892年。
聚光高溫計
非接觸式高溫計的悠久歷史旨在將來自被加熱物體表面的入射光集中在一個小型溫度傳感元件上。傳感器溫度的升高揭示了落在其上的紅外光能量的強度。如前所述,這是目標物體表面溫度的函數(絕對溫度的四次方):

斯特藩-玻爾茲曼定律的四次方特性意味著熱物體的絕對溫度增加一倍會導致落在傳感器上的輻射能量增加16倍,因此傳感器的溫升比環境溫度高16倍。三倍的目標溫度(絕對值)產生八十倍的輻射能量,因此傳感器的溫升增加了81倍。這種極端的非線性將非接觸式高溫計的實際應用限制在需要良好精度的相對較窄的目標溫度范圍內。
熱電偶是非接觸式高溫計中使用的第一個傳感器,它們仍在使用相同技術的現代版本。由于傳感器不會像目標物體那樣變熱,因此傳感器區域中任何單個熱電偶結點的輸出都將非常小。出于這個原因,儀器制造商通常使用稱為熱電堆的串聯熱電偶陣列來產生更強的電信號。
熱電堆的基本概念是將多個熱電偶結點串聯起來,使它們的電壓相加:

檢查每個結的極性標記(在這個例子中,假設E型熱電偶線:Inconel和Constantan),我們看到所有熱結的電壓互相幫助,所有冷結的電壓也是這種方式。然而,與所有熱電偶電路一樣,每個冷結的電壓與每個熱結的電壓相反。此圖中顯示的示例熱電堆具有四個熱接點和四個冷接點。假設所有熱端處于相同溫度且所有冷端具有相同溫度,電勢差將是單個E型熱電偶熱/冷端對的四倍。
當用作非接觸式高溫計檢測器時,熱電堆的方向使所有集中的光都落在熱結上(光聚焦到一個小的焦點),而冷結背對熱結。關注環境溫度區域。因此,熱電堆就像一個倍增的熱電偶,在相同的溫度條件下,產生的電壓高于單個熱電偶結點產生的電壓。

