什么是線性電路,它是如何工作的?線性電路是遵循疊加原理的電子電路。疊加定理可以應用于任何線性電路。當有多個獨立電源時,可以分別計算每個電源產生的電壓和電流,然后進行代數求和。這避免了創建一系列循環或節點方程的需要,從而簡化了計算。
什么是線性電路?
由于該電路的輸出電壓和電流是輸入電壓和電流的線性函數,因此稱為線性電路。原理如下圖所示。

當頻率為f的正弦輸入電壓或電流施加到電路的任何穩態部分(流過任何元件的電流或任何兩點之間的電壓)時,線性的另一個定義是,任何穩態輸出電路(流過任何元件的電流或任何兩點之間的電壓)也是頻率為f的正弦曲線。術語線性時不變指的是具有恒定元件值(LTI)的線性電路。
線性電路是一種電路,其中電氣元件(如電阻、電容、電感、增益等)的值。)在電路中的電壓或電流增加時不會改變。線性電路很有用,因為它們可以放大和處理電子信號,而不會引入任何失真。音頻系統是使用線性電路的電子設備的一個例子。來這里看看線性電路的原理。
線性電路的替代定義:
線性定義方程,即疊加原理,與通常用作替代定義的可加性和同質性兩個性質相同。

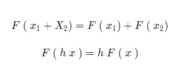
線性電路是這樣一種電路,其中(1)兩個信號之和的輸出與分別施加兩個信號時的輸出相同,并且(2)輸入信號x(t)被縮放因子h縮放以縮放輸出信號F(x(t))。
線性電路的含義:
線性電路很有用,因為它們可以處理模擬信號而不會產生互調失真。這意味著信號中的不同頻率保持分離,不會混合,從而產生新的頻率(外差)。
它們不太難理解和分析。線性電路由線性微分方程控制,強大的數學頻域技術(如傅里葉分析和拉普拉斯變換)可以用于研究,因為它們遵循疊加原理。
這些還提供了電路定性行為的可視化表示,用增益、諧振頻率、相移、帶寬、品質因數、極點和零點等術語來描述。線性電路通常可以在科學計算器的幫助下手工分析。
另一方面,非線性電路的封閉解很少。如果需要精確的結果,必須通過電路模擬計算機程序(如SPICE)用近似數值方法進行檢驗。單個數字可以指定線性電路組件的行為,如電阻、電容和電感(分別為電阻、電容和電感)。
非線性元件的行為由其詳細的傳遞函數決定,傳遞函數可以用曲線圖表示。因此,解釋非線性電路的特性比解釋線性電路的特性需要更多的信息。
電子制造有一個單獨的線性電路和系統類別。晶體管和集成電路制造商通常將其產品線分為線性和數字兩類。這里的線性一詞指的是模擬集成電路,如運算放大器、音頻放大器和有源濾波器,以及許多執行非線性模擬功能的信號處理電路,如對數放大器、模擬乘法器和峰值檢波器。

